目前,医用内窥镜主要包括三种类型,即纤维电子内窥镜、硬性内窥镜和胶囊内窥镜。其中硬性内窥镜以成像清晰、价格低廉、成像分辨率高等优点,在很多医疗检查、诊断及治疗中发挥着重要的作用。
硬性内窥镜微创手术是将硬性内窥镜插入人体(如腹腔)中,利用冷光源通过光纤照明,经过光学系统将图像传至数字相机上,实时地显示在高清显示器上,然后医生根据显示器上所显示组织器官的图像,对病人的病情进行分析、判断、手术。
医用硬性内窥镜光学系统主要包括四个部分:硬性内窥镜、耦合适配镜头、分光棱镜以及CMOS图像传感器。其中硬性内窥镜又可分为:物镜、中继系统和目镜。

医用硬性内窥镜物镜具有焦距短、视场大、光学长度长的特点,因此一般选用反远距物镜结构进行光学系统设计。负光焦度透镜组作为前组,正光焦度透镜作为后组,当平行光束入射时,经前组发散后,被后组成像在焦面上。这种光学系统的主面向后移除物镜之外,因此获得比焦距长的工作距离,而且视场角很大的轴外光束经负光焦度透镜组发散后,进入正光焦度透镜组的发散角变小,从而达到广角的目的。

医用硬性内窥镜为了能够深入人体内对病灶进行观察,需要将其设计的具有一定的长度,如腹腔镜一般在30cm,这就要求在硬性内窥镜除了成像物镜之外还要有棒状镜充当的中继传像系统,放大倍率为-1,使用奇数组可以使得系统成正像。


内窥镜目镜的作用是将物镜及中继系统所成的像经过目镜以平行光的形式进入人眼。现在基本是在目视内窥镜的基础上加入适配镜头,使得目镜出射光线经过适配器镜头成像到CMOS靶面上。目镜的出瞳即为适配器的入瞳


将上述光路依次连接即得到硬性内窥镜摄像系统的完整光路图,如图1.7。

综上所述就整体设计而言,内窥镜在整个光学系统中其实质可比作照相物镜。参考相机镜头中的景深评价,内窥镜摄像系统的景深重点在与内窥镜本身,而不是适配镜头。
在明确了内窥镜摄像系统的景深主要由内窥镜决定后,我们来探讨内窥镜本身的景深是由什么决定的。在此之前,我们要先明确一些概念。
摄像系统在成像过程中能够将整个物空间或部分物空间同时成像于一个像平面上,即成光学系统平面上的空间像,并称该平面为景像平面,与景像平面相共轭的物空间平面称为对准平面。

按照理想光学系统的特点和共线成像理论的思想,物空间的任意一个点、线、面、体在像空间都有唯一的点、线、面、体与之相共轭,即严格意义来说立体空间经光学系统成像后,只有对准平面上的各点经过系统后在景像平面上能够成清晰的像。在清晰的像的前后,光线开始聚集或扩散,像不再是清晰的点,而形成一个扩大的圆,这个圆就叫做弥散斑。
但是由于任何光强记录接收器都存在一定的不完善性(比如当弥散斑对人眼的张角小于人眼的极限分辨角,则人眼看起来感觉斑像尤似点像,并无不清楚的感觉),因此即使平面上空间点的像并不是真正的理想像,如果其弥散斑小于接收器的分辨能力,仍可以认为其能够成像清晰。

也就是说,不仅对准平面上的各点能够在景像平面上成清晰像,与对准平面有一定空间距离的各物点如图2.1中的和点也可能在景像平面上成清晰像,从而形成具有一定空间深度的物空间成像范围。我们称能在景像平面上获得清晰像的物空间深度为景深。



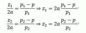
在景深平面上能够成清晰像的最远的平面为远景平面,远景平面与对准平面之间的距离为远景距离,用表示,远景平面与入瞳之间的距离为;能够成清晰像的最近的平面为近景平面,近景平面与对准平面之间的距离为近景距离,用表示,近景平面与入瞳之间的距离为,则景深。如图2.5所示,、均以入瞳中心为坐标原点,设入瞳直径为,出瞳直径为,景像平面与对准平面的垂轴放大率为,在下面的计算过程中垂轴放大率、、、等均不考虑符号问题,则景像平面上弥散斑直径为:

由图2.5中的三角关系可得:

则有:

可见,对准平面及景像平面上弥散斑的大小不仅与入瞳直径有关,且与、、、都有关。整理上述等式可得远景距离和近景距离分别为:

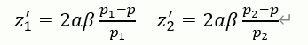
由此可得出远景深度,近景深度分别为:

若用眼睛来观察屏幕显示的图像,通常此距离要大于眼睛的明视距离(250mm),此时对人眼的张角为

L为观察距离。
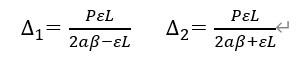
应用景深公式则可得到:


由公式可知:内窥镜的焦距越长,入瞳直径越大,景深越小;拍摄距离越大,景深越大。我们将镜头的,称为镜头的光圈数,其中。对于可变光圈的镜头,我们常说:选用的光圈数(F数)越大,景深越大。但是对于内窥镜而言,我们在使用过程中,能做的是选择适合的拍摄距离,即不要在内窥镜顶端离物体很近的距离下调节适配器镜头的调焦环使得画面清晰,而应该在适当远的距离(如50mm处)调焦使得画面清晰。这样会显著改善在使用过程中的景深效果。

在景深问题的探讨中,我们得出了这样的结论:内窥镜的焦距越长,入瞳直径越大,景深越小。那么我们能不能在设计阶段将内窥镜的焦距设计的很短、入瞳直径设计的很小,即光圈很大的镜头,从而得到很大的景深?
答案是遗憾的,我们并不能这么做。
除了景深外,摄像系统还需要追求其他的性能指标,比如典型的:分辨率和像面亮度。
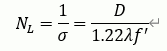
摄像系统的分辨率取决于镜头(如内窥镜、适配器镜头)的分辨率和接收器(如CMOS)的分辨率。分辨率是以像平面上每毫米内能分辨开的线对数表示的。根据瑞利准则,镜头的理论分辨率为:

其中,表示入瞳直径,为镜头的像方焦距,光波的波长。我们将称作镜头的光圈数。由上述公式可知:光圈数越大,镜头的分辨率越低。
摄像系统的像面照度(或者我们常说的亮度)主要取决于光圈大小或者说是相对口径。根据光度学理论,像面照度为

从公式可知:光圈数越大,摄像系统的像面照度越低。
对于硬性腹腔镜而言外筒直径为10mm,考虑到其内部需要光导纤维传光照明,内筒(装填光学镜片的管道)的内径为7mm,考虑到光学系统的加工余量等因素,内窥镜光学镜片的通光口径通常为6mm。

腹腔镜物镜设计首先要满足大视场的设计要求,通常为了方便观察人体,腹腔镜的视场角要在70-80°。根据公式:

为物镜成像像高,为物镜焦距,为半视场角。受内窥镜光学镜片的通光口径通常为6mm及后续光路的限制。可得,在视场角80°时,焦距为3.5mm。
基本上,10mm的硬性腹腔镜的焦距都在3.5mm附近。对于影响光圈的另一个量:入瞳直径,我们现在用更为直观的出瞳直径来感受。

上图是两款10mm腹腔镜的出瞳。我们很明显能发现侧的4K内窥镜的出瞳直径要明显比左侧4K内窥镜的出瞳直径大。从成像效果来看就是在同样的光照条件下,右侧内窥镜的画面亮度会由于左侧的4K内窥镜。但是从景深上来说,右侧的4K内窥镜要劣于左侧4K内窥镜。同时,较大的入瞳也会使得CMOS上照度分布的不均匀,即视场边缘照度比视场中央的照度要弱许多。

通过以上分析我们可以发现,镜头的光圈数是制约摄像系统景深、分辨率、像面照度的重要参数。但是光圈数对这些量的影响是不同的。景深要求光圈数越大越好,但是分辨率和像面照度要求光圈数越小越好。这些要求是彼此矛盾的,某一要求实现得非常好时,其他要求可能就无法满足。因此在光学设计中我们只能综合考量多方面的要求,达到系统整体上的优秀。这就是光学设计中的平衡。
综合的来说对于市面上成像性能优秀的4K内窥镜,它们的景深数据都是差不多的。根据《中华人民共和国医药行业标准YY 0068.1-2008》,具有景深效果的光学镜在该景深范围内,视场中心的角分辨力应不低于设计光学工作距处角分辨力测量值的80%。就本人测量过的多款10mm腹腔镜,于物距50mm处调焦清晰,前后挪动,在30mm130mm的范围内可以达到标准要求的不低于80%,即景深为30mm130mm。
为了达到这个景深效果,我们应该在适当远的距离(如50mm处)调焦使得画面清晰,这样才会有较好的景深效果,而不是在内窥镜顶端距离物体很近时调焦清晰,更不是选择其他的适配器镜头。